Как создать блок‑схему в Google Drawings
Важно: Google Drawings не предназначен для рисования художественных иллюстраций. Это инструмент для диаграмм, схем и встраивания в документы и слайды.
Что такое Google Drawings?
Google Drawings — это веб‑приложение от Google для создания диаграмм и простых иллюстраций. Оно интегрируется с Google Диском и позволяет быстро вставлять схемы в Google Docs и Google Slides. Ключевая цель — структурировать информацию визуально: блоки, стрелки, подписи.
Кратко: диаграмма — это способ визуализировать последовательности или принятие решений. Connector — соединитель между фигурами.
Начало работы в Google Drawings

- Откройте сайт Google Drawings (через Google Диск: Создать → Другие → Google Drawings или напрямую по ссылке сервиса).
- Перед вами появится пустой холст и верхняя панель инструментов.
- На панели доступны: инструмент выделения, линии/соединители, фигуры, текст и параметры форматирования.
Короткая подсказка по инструментам:
- Стрелка (инструмент выделения) — перемещает и изменяет размер объектов.
- Линия — рисует прямые и соединители; можно установить стрелки на концах.
- Фигуры — стандартные прямоугольники, ромбы, овалы; для блок‑схем используйте прямоугольники и ромбы.
- Текст — добавляет подписи к объектам.
Создание блок‑схемы: пошаговая инструкция
- Выберите фигуру: нажмите на кнопку «Фигуры» и выберите нужную (в статье мы используем скосный прямоугольник).

- Нарисуйте первую фигуру, затем вторую. Чтобы сделать их одинаковыми, нарисуйте одну, скопируйте (Ctrl+C) и вставьте (Ctrl+V).

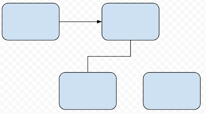
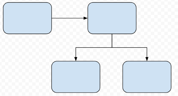
- Соедините фигуры стрелкой: выберите инструмент «Линия», нажмите стрелку рядом и выберите тип стрелки. Проведите линию от одной фигуры к другой.

- Для ветвления используйте «угловой соединитель» (elbow connector) или «изогнутый соединитель» (curved connector) в меню линий. Перетащите соединитель от одной стороны исходной фигуры к разным целям.


Добавьте стрелочные наконечники: выберите линию, затем на панели справа кликните значок с наконечником стрелки.
Подпишите фигуры: выберите инструмент «Текст» и введите метки для блоков и стрелок.

- Чтобы уменьшить занимаемое пространство на холсте, выделите все объекты и переместите их вверх влево. Затем потяните маркер размера холста (маленький треугольник справа‑внизу), чтобы подогнать холст по размеру диаграммы.

Сохранение и экспорт
Когда диаграмма готова, сохраните её в файл для импорта в отчёт или слайд:
- Меню: Файл → Скачать.
- Выберите формат: PNG, JPEG, SVG или PDF. PNG подходит для большинства отчётов; SVG удобен для дальнейшего редактирования в векторных редакторах.

Совет: экспорт в PDF сохраняет качество при вставке в печатные документы. SVG полезен, если потребуется изменить размеры без потери качества.
Быстрая методология: как спроектировать понятную блок‑схему
- Определите цель диаграммы: что вы хотите показать (процесс, принятие решения, поток данных).
- Составьте список шагов и решений текстом.
- Выберите стандартные формы: прямоугольник — процесс, ромб — решение, овал — начало/конец.
- Нарисуйте набросок на бумаге, затем перенесите в Google Drawings.
- Пронумеруйте шаги или используйте выравнивание для читабельности.
- Проверьте понятность: дайте диаграмму коллеге и попросите пересказать процесс.
Шпаргалка: полезные приёмы и горячие клавиши
- Копировать / Вставить: Ctrl+C / Ctrl+V
- Дублировать объект: Ctrl+D
- Группировать: Ctrl+G, Разгруппировать: Ctrl+Shift+G
- Выравнивание: меню Формат → Выравнивание
Правило выравнивания: используйте сетку (View → Snap to grid) и одинаковые отступы между элементами.
Когда Google Drawings не подойдёт (ограничения)
- Большие и сложные диаграммы (с сотнями узлов) лучше рисовать в профессиональных инструментах типа Lucidchart или Visio.
- Если нужна автоматическая генерация диаграмм из кода (например Graphviz), Google Drawings неудобен.
- Для командной работы с версионированием и комментариями в диаграммах могут подойти специализированные решения с интеграцией CI/CD.
Альтернативные инструменты
- Google Slides — схож по функциональности и удобен, если диаграмма сразу в презентации.
- Draw.io / diagrams.net — бесплатный, больше шаблонов для диаграмм.
- Lucidchart — продвинутые функции командной работы (платно).
- Microsoft Visio — мощный инструмент для корпоративных пользователей.
Ролевой чек‑лист: кто что делает
- Продакт‑менеджер: описывает цель диаграммы и ключевые шаги.
- Дизайнер/аналитик: макетирует блоки и визуальную иерархию.
- Технический специалист: проверяет логические переходы и корректность терминов.
- Рецензент: читает диаграмму «с конца» и оценивает понятность.
Критерии приёмки
- Вся логика процесса отображена верно.
- Все решения помечены и имеют понятные варианты ветвления.
- Нет пересекающихся линий без явного соединителя.
- Диаграмма читается без пояснительного текста.
Тестовые случаи (проверка приёмки)
- Пройдите путь по всем ветвлениям — для каждого получите ожидаемый итог.
- Оцените мобильную/мелкую версию: сохранение читаемости при уменьшении масштаба.
- Экспорт в PNG и PDF — изображение не обрезается.
Короткий глоссарий
- Фигура — визуальный блок, представляющий шаг.
- Соединитель — линия, указывающая порядок или поток.
- Наконечник стрелки — показывает направление.
Итог
Google Drawings — удобный и быстрый инструмент для простых блок‑схем и диаграмм. Он бесшовно встраивается в экосистему Google, прост в использовании и бесплатен. Для сложных корпоративных диаграмм выбирайте специализированные решения.
Краткие рекомендации:
- Используйте стандартные формы и выравнивание.
- Экспортируйте в PNG для отчётов и в SVG для векторного редактирования.
- При необходимости крупных диаграмм — переходите на Draw.io, Lucidchart или Visio.
Сводка ниже содержит ключевые выводы и быстрые шаги создания блок‑схемы.
Сводка:
- Начните с текста: перечислите шаги.
- Нарисуйте фигуры и соедините их.
- Подпишите все стрелки и блоки.
- Экспортируйте в подходящий формат и проверьте читабельность.
Похожие материалы
Rsync + Grsync: простое резервное копирование
Google Analytics для Blogger: настройка
Создать шаблон песни в GarageBand
Отключить голосовой вывод Google Assistant на Android
Планировщик задач Windows: исправить пути с пробелами